Упр.743 ГДЗ Атанасян 10-11 класс по геометрии (Геометрия)

Решение #1

Изображение 743 Два ребра тетраэдра равны b, а остальные четыре ребра равны а. Найдите объем тетраэдра, если ребра длины b: а) имеют общие точки; б) не имеют общих...
Дополнительное изображение
Дополнительное изображение

Решение #2

Изображение 743 Два ребра тетраэдра равны b, а остальные четыре ребра равны а. Найдите объем тетраэдра, если ребра длины b: а) имеют общие точки; б) не имеют общих...
Дополнительное изображение
Дополнительное изображение
Дополнительное изображение
Загрузка...

Рассмотрим вариант решения задания из учебника Атанасян, Бутузов 11 класс, Просвещение:
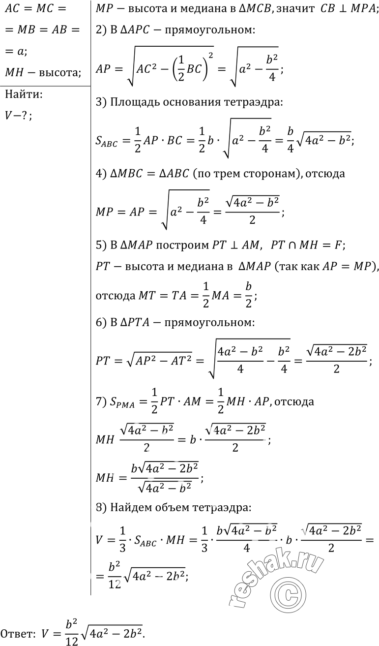
743 Два ребра тетраэдра равны b, а остальные четыре ребра равны а. Найдите объем тетраэдра, если ребра длины b: а) имеют общие точки; б) не имеют общих точек.
*Цитирирование задания со ссылкой на учебник производится исключительно в учебных целях для лучшего понимания разбора решения задания.
*размещая тексты в комментариях ниже, вы автоматически соглашаетесь с пользовательским соглашением