Упр.802 ГДЗ Алимов 10-11 класс (Алгебра)
Решение #1
Решение #2

Рассмотрим вариант решения задания из учебника Алимов, Колягин, Ткачёва 11 класс, Просвещение:
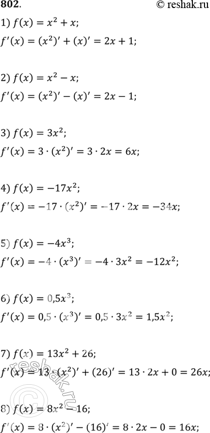
Найти производную функции (802—803).
802 1) х2 + х;
2) х2-х;
3) 3х2;
4) -17х2;
5) -4х3;
6) 0,5х3;
7) 13х2 + 26;
8) 8х2 - 16.
*размещая тексты в комментариях ниже, вы автоматически соглашаетесь с пользовательским соглашением