Упр.471 ГДЗ Макарычев Миндюк 9 класс (Алгебра)
Решение #1
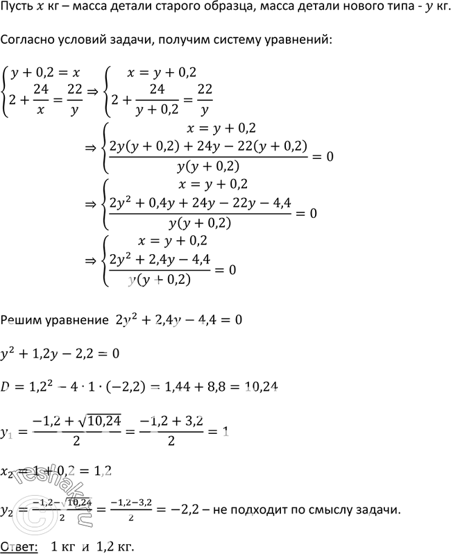
Решение #2

Рассмотрим вариант решения задания из учебника Макарычев, Миндюк, Нешков 9 класс, Просвещение:
471. Рационализаторы цеха внедрили в производство усовершенствованный тип детали. Определите массу детали нового и старого типов, если известно, что деталь нового типа на 0,2 кг легче детали старого типа, причём из 22 кг металла стали делать деталей нового типа на две больше, чем делали деталей старого типа из 24 кг металла.
*размещая тексты в комментариях ниже, вы автоматически соглашаетесь с пользовательским соглашением