Упр.531 ГДЗ Макарычев Миндюк 9 класс (Алгебра)
Решение #1
Решение #2

Рассмотрим вариант решения задания из учебника Макарычев, Миндюк, Нешков 9 класс, Просвещение:
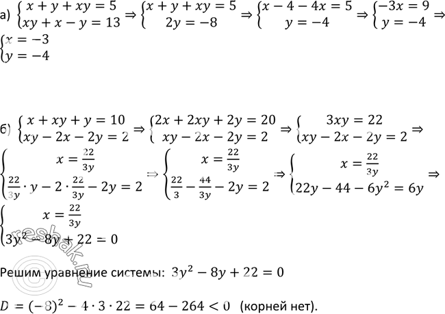
531. Решите систему уравнений:
а) система
x+y+xy=5,
xy+x-y=13;
б) система
x+xy+y=10,
xy-2x-2y=2.
*размещая тексты в комментариях ниже, вы автоматически соглашаетесь с пользовательским соглашением