Упр.611 ГДЗ Макарычев Миндюк 9 класс (Алгебра)

Решение #1

Изображение 611. Найдите сумму членов арифметической прогрессии с шестого по двадцать пятый включительно, если первый член равен 21 и разность равна...

Решение #2

Изображение 611. Найдите сумму членов арифметической прогрессии с шестого по двадцать пятый включительно, если первый член равен 21 и разность равна...
Загрузка...

Рассмотрим вариант решения задания из учебника Макарычев, Миндюк, Нешков 9 класс, Просвещение:
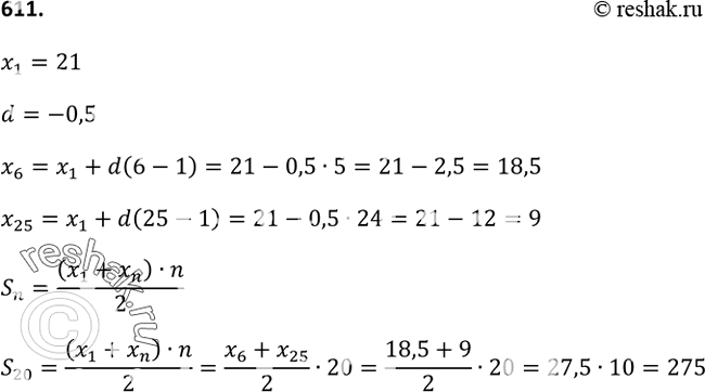
611. Найдите сумму членов арифметической прогрессии с шестого по двадцать пятый включительно, если первый член равен 21 и разность равна -0,5.
*Цитирирование задания со ссылкой на учебник производится исключительно в учебных целях для лучшего понимания разбора решения задания.
*размещая тексты в комментариях ниже, вы автоматически соглашаетесь с пользовательским соглашением