Упр.625 ГДЗ Макарычев Миндюк 9 класс (Алгебра)
Решение #1
Решение #2
Решение #3

Рассмотрим вариант решения задания из учебника Макарычев, Миндюк, Нешков 9 класс, Просвещение:
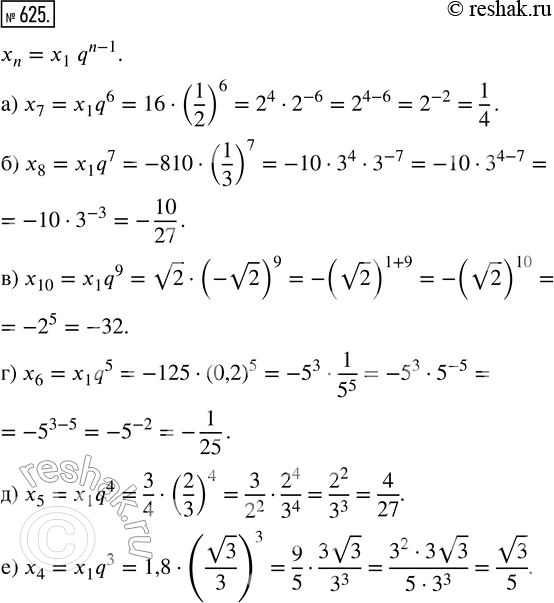
625. Последовательность (xn) геометрическая прогрессия. Найдите:
а) х7, если x1 = 16, q=1/2
б) х8, если x1 = -810, q= 1/3;
в) х10, если x1 = v2, q = -v2;
г) х6, если x1 = -125, q = 0,2;
д) x5, если х1 = 3/4, q = 2/3;
е) x4, если х1 = 1,8, q = v3/3.
*размещая тексты в комментариях ниже, вы автоматически соглашаетесь с пользовательским соглашением