Упр.431 ГДЗ Макарычев Миндюк 9 класс (Алгебра)
Решение #1
Решение #2

Рассмотрим вариант решения задания из учебника Макарычев, Миндюк, Нешков 9 класс, Просвещение:
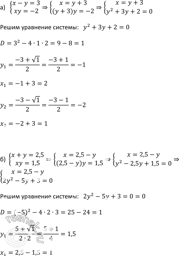
431. Решите систему уравнений:
а) система
x-y=3,
xy=-2;
б) система
x+y=2,5,
xy=1,5
в) система
x+y=-1,
x2+y2=1;
г) система
x-y=2,
x2-y2=17.
*размещая тексты в комментариях ниже, вы автоматически соглашаетесь с пользовательским соглашением