Упр.435 ГДЗ Макарычев Миндюк 9 класс (Алгебра)
Решение #1
Решение #2

Рассмотрим вариант решения задания из учебника Макарычев, Миндюк, Нешков 9 класс, Просвещение:
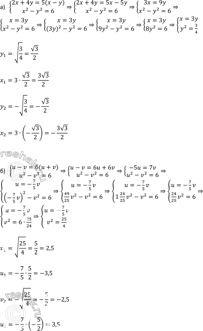
435. Решите систему уравнений:
а) система
2x+4y=5(x-y),
x2-y2=6;
б) система
u-v=6(u+v),
u2-v2=6.
*размещая тексты в комментариях ниже, вы автоматически соглашаетесь с пользовательским соглашением