Упр.436 ГДЗ Макарычев Миндюк 9 класс (Алгебра)
Решение #1
Решение #2

Рассмотрим вариант решения задания из учебника Макарычев, Миндюк, Нешков 9 класс, Просвещение:
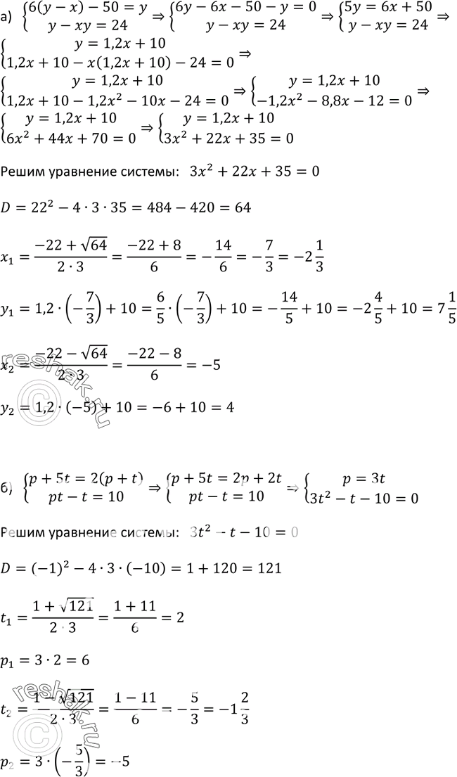
436. Решите систему уравнений:
а) система
6(y - х) - 50 = y,
у - ху = 24;
б) система
p+5t=2(p+t),
pt-t=10.
*размещая тексты в комментариях ниже, вы автоматически соглашаетесь с пользовательским соглашением